NCERT Solution of Class 9 Science Ch-9 Gravitation
Important Questions for Class 9 Science Chapter 9 Gravitation
Thank you for reading this post, don't forget to subscribe!
Page No. 102
Question 1:
State the universal law of gravitation.
गुरुत्वाकर्षण का सार्वत्रिक नियम बताइए|
Answer
The universal law of gravitation states that every object in the universe attracts every other object with a force called the gravitational force. The force acting between two objects is directly proportional to the product of their masses and inversely proportional to the square of the distance between their centers.
गुरुत्वाकर्षण बल के सार्वत्रिक नियम के अनुसार विश्व का प्रत्येक पिंड प्रत्येक अन्य पिंड को एक बल से आकर्षित करते हैं, जिसे गुरुत्वाकर्षण बल कहते हैं| इसके अनुसार, दोनों पिंडों के बीच लगने वाला बल उनके द्रव्यमानों के गुणनफल के समानुपाती होता है तथा उनके बीच की दूरी के वर्ग के व्युत्क्रमानुपाती होता है|
Question 2:
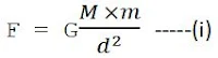
Write the formula to find the magnitude of the gravitational force between the earth and an object on the surface of the earth.
Answer

where,
F = force of attraction
G = constant of proportionality
M = mass of earth
m = mass of the object
d = distance between the earth’s centre and object’s centre.
मान लें कि पृथ्वी का द्रव्यमान ME तथा उसकी सतह पर रखी वस्तु का द्रव्यमान m है| यदि पृथ्वी की त्रिज्या r है, तो गुरुत्वाकर्षण के सार्वत्रिक नियम के अनुसार, पृथ्वी और वस्तु के बीच लगने वाले आकर्षण बल को निम्नलिखित संबंध द्वारा व्यक्त किया जाता है :

NCERT Solution of Class 9 Science Ch-9 Gravitation
Page No. 104
Question 1:
What do you mean by free fall?
मुक्त पतन से आप क्या समझते हैं?
Answer
Whenever objects fall towards the earth under this force alone, we say that the objects are in free fall.
पृथ्वी का गुरुत्वीय बल वस्तुओं को अपनी ओर आकर्षित करता है| जब किसी वस्तु को एक निश्चित ऊँचाई से गिराया जाता है, तो वह गुरुत्वाकर्षण बल के कारण पृथ्वी की सतह के ओर गिरने लगता है| वस्तु में इस प्रकार की गति को मुक्त पतन कहते हैं|
Question 2:
What do you mean by acceleration due to gravity?
गुरुत्वीय त्वरण से आप क्या समझते हैं?
Answer
When an object falls towards the ground from a height, then its velocity changes during the fall. This changing velocity produces acceleration in the object. This acceleration is known as acceleration due to gravity (g). Its value is given by 9.8 m/s2.
जब कोई वस्तु किसी निश्चित ऊँचाई से पृथ्वी की सतह पर स्वतंत्र रूप से गिरती है, तो इसके वेग में परिवर्तन होता है| वेग में कोई भी परिवर्तन वस्तु में त्वरण उत्पन्न करता है, जिसे गुरुत्वीय त्वरण कहते हैं| इसे ‘g’ द्वारा निर्दिष्ट करते हैं| गुरुत्वीय त्वरण का मान g = 9.8 m/s2 है|
NCERT Solution of Class 9 Science Ch-9 Gravitation
Page No. 106
Question 1:
What are the differences between the mass of an object and its weight?
किसी वस्तु के द्रव्यमान तथा भार में क्या अंतर है?
Answer
| Mass | Weight |
| Mass is the quantity of matter contained in the body. | Weight is the force of gravity acting on the body. |
| It is the measure of the inertia of the body. | It is the measure of gravity. |
| It only has magnitude. | It has magnitude as well as direction. |
| Mass is a constant quantity. | Weight is not a constant quantity. It is different in different places. |
| Its SI unit is kilogram (kg). | Its SI unit is the same as the SI unit of force, i.e., Newton (N). |
| द्रव्यमान | भार |
| यह किसी वस्तु में उपस्थित पदार्थ की मात्रा होती है| | किसी वस्तु का भार वह बल है जिससे यह पृथ्वी की ओर आकर्षित होती है| |
| किसी वस्तु का द्रव्यमान उसके जड़त्व की माप होता है| | वस्तु का भार उसके गुरूत्व की माप होता है| |
| इसमें केवल परिमाण होता है| | इसमें परिमाण तथा दिशा दोनों होते हैं| |
| इसका SI मात्रक किलोग्राम (kg) होता है| | इसका SI मात्रक वही है जो बल का है, अर्थात् न्यूटन (N)| |
Question 2:
Why is the weight of an object on the moon 1/6th its weight on the earth?
किसी वस्तु का चन्द्रमा पर भार पृथ्वी पर इसके भार का 1/6 गुणा क्यों होता है?
Answer
The mass of moon is 1/100 times and its radius 1/4 times that of earth. As a result, the gravitional attraction on the moon is about one sixth when compared to earth. Hence, the the weight of an object on the moon 1/6th its weight on the earth.
चंद्रमा का द्रव्यमान पृथ्वी का 1/100 और त्रिज्या एक चौथाई होता है| परिणामस्वरूप, पृथ्वी की तुलना में चंद्रमा पर गुरुत्वाकर्षण बल 1/6 होता है| यही कारण है कि किसी वस्तु का चन्द्रमा पर भार पृथ्वी पर इसके भार का 1/6 गुणा होता है|
NCERT Solution of Class 9 Science Ch-9 Gravitation
Page No. 109
Question 1:
Why is it difficult to hold a school bag having a strap made of a thin and strong string?
एक पतली तथा मजबूर डोरी से बने पट्टे की सहायता से स्कूल बैग को उठाना कठिन होता है, क्यों?
Answer
It is difficult to hold a school bag having a strap made of a thin and strong string because as the surface area of the string in contact with the shoulders is very less and due to this, its weight applies a large pressure on the shoulders.
एक पतली तथा मजबूर डोरी से बने पट्टे की सहायता से स्कूल बैग को उठाना कठिन होता है, क्योंकि कंधों पर अधिक दबाव पड़ता है| ऐसा इसलिए होता है क्योंकि दबाव उस सतह क्षेत्र पर विपरीत रूप से आनुपातिक होता है, जिस पर बल कार्य करता है| सतह क्षेत्र जितना छोटा होता है, उस पर उतना ही अधिक दाब पड़ेगा| पतले पट्टी के कारण संपर्क सतह क्षेत्र बहुत छोटा होता है| इसके कारण कंधे पर लगने वाला दाब बहुत अधिक होता है|
Question 2:
What do you mean by buoyancy?
उत्प्लावकता से आप क्या समझते हैं?
Answer
The upward force possessed by a liquid on an object that’s immersed in it is referred to as buoyancy.
किसी तरल में वस्तु को डुबोने पर ऊपर की ओर लगने वाला बल उत्प्लावकता कहलाता है|
Question 3:
Why does an object float or sink when placed on the surface of water?
पानी की सतह पर रखने पर कोई वस्तु क्यों तैरती या डूबती है?
OR
Why does iron nail sink while a cork floats on the surface of water? [Imp.]
Answer
An object floats or sinks when placed on the surface of water because of two reasons:
(i) If its density is greater than that of water, an object sinks in water.
(ii) If its density is less than that of water, an object floats in water.
(1) पानी के घनत्व से कम घनत्व की वस्तुएँ पानी की सतह पर तैरती हैं|
(2) पानी के घनत्व से अधिक घनत्व की वस्तुएँ पानी में डूब जाती हैं|
NCERT Solution of Class 9 Science Ch-9 Gravitation
Page No. 110
Question 1:
You find your mass to be 42 kg on a weighing machine. Is your mass more or less than 42 kg?
एक तुला (weighing machine) पर आप अपना द्रव्यमान 42 kg नोट करते हैं| क्या आपका द्रव्यमान 42 kg से अधिक है या कम?
Answer
When we weigh our body, an upward force acts on it. This upward force is the buoyant force. As a result, the body gets pushed slightly upwards, causing the weighing machine to show a reading less than the actual value.
जब हम अपने शरीर का वजन करते हैं, तो ऊपर की दिशा में एक बल कार्य करता है| ऊपर की दिशा में लगा यह बल उत्प्लावन बल कहलाता है| परिणामस्वरूप, शरीर ऊपर की दिशा में धकेली जाती है, जिसके कारण तुला पर वास्तविक वजन से कम वजन नोट किया जाता है|
Question 2:
You have a bag of cotton and an iron bar, each indicating a mass of 100 kg when measured on a weighing machine. In reality, one is heavier than other. Can you say which one is heavier and why?
आपके पास एक रुई का बोरा तथा एक लोहे की छड़ है| तुला पर मापने पर दोनों 100 kg द्रव्यमान दर्शाते हैं| वास्तविकता में एक-दूसरे से भारी है| क्या आप बता सकते हैं कि कौन-सा भारी है और क्यों?
Answer
The cotton bag is heavier than the iron bar. The cotton bag experiences larger up thrust of air than the iron bar. So, the weighing machine indicates a smaller mass for cotton bag than its actual mass.
एक रुई का बोरा लोहे की एक छड़ से अधिक भारी होता है| रुई के बोरे पर लोहे की छड़ की अपेक्षा वायु के प्रणोद का प्रभाव अधिक होता है| इसलिए रुई के बोरे को तुला पर मापने पर वास्तविक द्रव्यमान से कम द्रव्यमान दर्शाता है|
NCERT Solution of Class 9 Science Ch-9 Gravitation
Page No. 111
Exercise
Question 1:
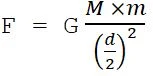
How does the force of gravitation between two objects change when the distance between them is reduced to half ?
यदि दो वस्तुओं के बीच कोई दूरी को आधा कर दिया जाए तो उनके बीच गुरुत्वाकर्षण बल किस प्रकार बदलेगा?
Answer
According to Universal Law of gravitation, the gravitational force of attraction between any two objects of mass M and m is proportional to the product of their masses and inversely proportional to the square of distance r between them
So, force F is given by
Hence, if the distance is reduced to half, then the gravitational force becomes four times larger than the previous value.
गुरुत्वाकर्षण बल के सार्वत्रिक नियम के अनुसार, दोनों पिंडों के बीच का गुरुत्वाकर्षण बल उनके द्रव्यमानों M तथा m के गुणनफल के समानुपाती होता है तथा उनके बीच की दूरी d के वर्ग के व्युत्क्रमानुपाती होता है|
बल F द्वारा दर्शाया जाता है, जहाँ,

जब वस्तुओं के बीच की दूरी d आधा कर दिया जाता है तो उनके बीच गुरुत्वाकर्षण बल :

या, F’ = 4F
इस प्रकार यदि दो वस्तुओं के बीच कोई दूरी को आधा कर दिया जाए तो उनके बीच गुरुत्वाकर्षण बल का मान पहले से चार गुणा अधिक हो जाएगा|
Question 2:
Gravitational force acts on all objects in proportion to their masses. Why then, a heavy object does not fall faster than a light object?
सभी वस्तुओं पर लगने वाला गुरुत्वीय बल उनके द्रव्यमान के समानुपाती होता है| फिर एक भारी वस्तु हलकी वस्तु के मुकाबले तेजी से क्यों नहीं गिरती?
Answer
All objects fall on ground with constant acceleration, called acceleration due to gravity (in the absence of air resistances). It is constant and does not depend upon the mass of an object. Hence, heavy objects do not fall faster than light objects.
सभी वस्तुएँ जमीन पर नियत त्वरण के साथ गिरती हैं, जिसे गुरुत्वीय त्वरण कहते हैं| यह नियत होता है तथा वस्तु के द्रव्यमान पर निर्भर नहीं करता| यही कारण है कि एक भारी वस्तु हलकी वस्तु के मुकाबले तेजी से नहीं गिरती|
Question 3:
What is the magnitude of the gravitational force between the earth and a 1 kg object on its surface? (Mass of the earth is 6 × 1024 kg and radius of the earth is 6.4 × 106 m.)
पृथ्वी तथा उसकी सतह पर रखी किसी 1 kg वस्तु के बीच गुरुत्वीय बल का परिमाण क्या होगा? (पृथ्वी का द्रव्यमान 6 × 1024 kg है तथा पृथ्वी की त्रिज्या 6.4 × 106 m है)|
Answer
Given that,
Mass of the body, m= 1 kg
Mass of the Earth, M= 6×1024 kg
Radius of the earth, R= 6.4×106 m
Now, magnitude of the gravitational force (F) between the earth and the body can be calculated.
Question 4:
The earth and the moon are attracted to each other by gravitational force. Does the earth attract the moon with a force that is greater or smaller or the same as the force with which the moon attracts the earth? Why?
पृथ्वी तथा चंद्रमा एक-दूसरे को गुरुत्वीय बल से आकर्षित करते हैं| क्या पृथ्वी जिस बल से चंद्रमा को आकर्षित करती है वह बल, उस बल से जिससे चंद्रमा पृथ्वी को आकर्षित करता है बड़ा है या छोटा है या बराबर है? बताइए क्यों?
Answer
According to the universal law of gravitation, two objects attract each other with equal force, but in opposite directions. The Earth attracts the moon with an equal force with which the moon attracts the earth.
गुरुत्वाकर्षण के सार्वत्रिक नियम के अनुसार, दो वस्तुएँ समान बल से एक-दूसरे को विपरीत दिशा में आकर्षित करते हैं| इसलिए पृथ्वी जिस बल से चंद्रमा को आकर्षित करती है, उस के बराबर बल से चंद्रमा पृथ्वी को आकर्षित करता है|
Question 5:
If the moon attracts the earth, why does the earth not move towards the moon?
यदि चंद्रमा पृथ्वी को आकर्षित करता है, तो पृथ्वी चंद्रमा की ओर गति क्यों नहीं करती?
Answer
The Earth and the moon experience equal gravitational forces from each other. However, the mass of the Earth is much larger than the mass of the moon. Hence, it accelerates at a rate lesser than the acceleration rate of the moon towards the Earth. For this reason, the Earth does not move towards the moon.
पृथ्वी और चंद्रमा एक-दूसरे को समान गुरुत्वीय बल से आकर्षित करते हैं| जबकि पृथ्वी का द्रव्यमान चंद्रमा के द्रव्यमान से बहुत अधिक है| इसलिए यह पृथ्वी की ओर चंद्रमा के त्वरण दर से कम दर पर त्वरित होता है| यही कारण है कि पृथ्वी चंद्रमा की ओर गति नहीं करती|
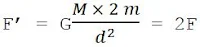
Question 6:
What happens to the force between two objects, if
(i) the mass of one object is doubled?
(ii) the distance between the objects is doubled and tripled?
(iii) the masses of both objects are doubled?
दो वस्तुओं के बीच लगने वाले गुरुत्वाकर्षण बल का क्या होगा, यदि
(i) एक वस्तु का द्रव्यमान दोगुना कर दिया जाए?
(ii) वस्तुओं के बीच की दूरी दोगुनी अथवा तीन गुनी कर दी जाए?
(iii) दोनों वस्तुओं के द्रव्यमान दोगुने कर दिए जाएँ?
Answer
From Universal law of gravitation, force exerted on an object of mass m by earth is given by
So as the mass of any one of the object is doubled the force is also doubled.
गुरुत्वाकर्षण बल के सार्वत्रिक नियम के अनुसार, पृथ्वी द्वारा m द्रव्यमान के किसी वस्तु पर बल लगाया जाता है,

(i) जब एक वस्तु का द्रव्यमान दोगुना कर दिया जाता है तो

(ii) The force F is inversely proportional to the distance between the objects. So if the distance between two objects is doubled then the gravitational force of attraction between them is reduced to one fourth(1/4) of its original value.
Similarly, if the distance between two objects is tripled, then the gravitational force of attraction becomes one ninth(1/9) of its original value.
(ii) दोनों वस्तुओं के बीच लगने वाला बल उनके बीच की दूरी के वर्ग के व्युत्क्रमानुपाती है| इसलिए वस्तुओं के बीच की दूरी दोगुनी करने पर उनके बीच का गुरुत्वाकर्षण बल उसके वास्तविक मान का एक चौथाई हो जाता है| उसी तरह वस्तुओं के बीच की दूरी तीन गुनी करने पर उनके बीच का गुरुत्वाकर्षण बल उसके वास्तविक मान का 1/9 भाग हो जाता है|
(iii) Force F is directly proportional to the product of both the masses. So, if both the masses are doubled then the gravitational force of attraction becomes four times the original value.
(iii) फिर से गुरुत्वाकर्षण के सार्वत्रिक नियम के अनुसार, दोनों वस्तुओं के बीच का गुरुत्वाकर्षण बल उनके द्रव्यमानों M तथा m के गुणनफल के समानुपाती होता है| इसलिए दोनों वस्तुओं के द्रव्यमान दोगुने किए जाने पर उनके बीच का गुरुत्वाकर्षण बल उसके वास्तविक मान से चार गुना हो जाता है|
Question 7:
What is the importance of universal law of gravitation?
गुरुत्वाकर्षण के सार्वत्रिक नियम के क्या महत्व हैं?
Answer
The importance of universal law of gravitaion?
(i) the force that binds us to the earth;
(ii) the motion of the moon around the earth;
(iii) the motion of planets around the Sun; and
(iv) the tides due to the moon and the Sun.
गुरुत्वाकर्षण के सार्वत्रिक नियम के निम्नलिखित महत्व हैं :
(i) हमें पृथ्वी से बाँधे रखने वाला बल |
(ii) पृथ्वी के चारों ओर चंद्रमा की गति |
(iii) सूर्य के चारों ओर ग्रहों की गति |
(iv) चंद्रमा तथा सूर्य के कारण ज्वार-भाटा |
Question 8:
What is the acceleration of free fall?
मुक्त पतन का त्वरण क्या है?
Answer
Acceleration of free fall is the acceleration produced when a body falls under the influence of the force of gravitation of the earth alone. It is denoted by g and its value on the surface of the earth is 9.8 ms-2.
जब कोई वस्तु पृथ्वी के गुरुत्वाकर्षण बल के प्रभाव के कारण नीचे गिरता है, तो उसमे मुक्त पतन का त्वरण उत्पन्न होता है| | इसे ‘g’ द्वारा निर्दिष्ट करते हैं, जिसका मान पृथ्वी के सतह पर 9.8 m/s-2 होता है|
Question 9:
What do we call the gravitational force between the earth and an object?
पृथ्वी तथा किसी वस्तु के बीच गुरुत्वीय बल को हम क्या कहेंगे?
Answer
Gravitational force between the earth and an object is known as the weight of the object.
पृथ्वी तथा किसी वस्तु के बीच गुरुत्वीय बल को हम उस वस्तु का भार कहेंगे|
Question 10:
Amit buys few grams of gold at the poles as per the instruction of one of his friends. He hands over the same when he meets him at the equator. Will the friend agree with the weight of gold bought? If not, why? [Hint: The value of g is greater at the poles than at the equator.]
एक व्यक्ति A अपने एक मित्र के निर्देश पर ध्रुवों पर कुछ ग्राम सोना खरीदता है| वह इस सोने को विषुवत वृत्त पर वपने मित्र को देता है| क्या उसका मित्र खरीदे हुए सोने के भार से संतुष्ट होगा? यदि नहीं, तो क्यों? (संकेत : ध्रुवों पर g का मान विषुवत वृत्त की अपेक्षा अधिक है|)
Answer
Weight of a body on the Earth is given by:
W = mg
Where,
m = Mass of the body
g = Acceleration due to gravity
The value of gis greater at poles than at the equator. Therefore, gold at the equator weighs less than at the poles. Hence, Amit’s friend will not agree with the weight of the gold bought.
पृथ्वी पर वस्तु का भार दिया गया है :
W= mg
जहाँ,
m = वस्तु का द्रव्यमान
g = गुरुत्वीय त्वरण
ध्रुव पर g का मान विषुवत रेखा से अधिक होता है| इसलिए सोने का वजन विषुवत रेखा पर ध्रुव से कम होता है| इसलिए उसका मित्र खरीदे हुए सोने के भार से संतुष्ट नहीं होगा|
Question 11:
Why will a sheet of paper fall slower than one that is crumpled into a ball?
एक कागज की शीट, उसी प्रकार की शीट को मरोड़ कर बनाई गई गेंद से धीमी क्यों गिरती है?
Answer
When a sheet of paper is crumbled into a ball, then its density increases. Hence, resistance to its motion through the air decreases and it falls faster than the sheet of paper.
जब एक कागज की शीट को मरोड़कर गेंद बनाया जाता है तो इसका घनत्व बढ़ जाता है| इसलिए गिरते हुए गतिशील गेंद पर लगने वाला वायु का प्रतिरोध कम होता है और कागज की शीट से जल्दी नीचे गिरता है|
Question 12:
Gravitational force on the surface of the moon is only 1/6 as strong as gravitational force on the earth. What is the weight in newtons of a 10 kg object on the moon and on the earth?
चंद्रमा की सतह पर गुरुत्वीय बल, पृथ्वी की सतह पर गुरुत्वीय बल की अपेक्षा 1/6 गुणा है| एक 10 kg की वस्तु का चंद्रमा पर तथा पृथ्वी पर न्यूटन में भार क्या होगा?
Answer
Weight of an object on the moon = 1/6 ×Weight of an object on the Earth
Also,
Weight = Mass × Acceleration
Acceleration due to gravity, g = 9.8 m/s2
Therefore, weight of a 10 kg object on the Earth = 10 × 9.8 = 98 N
And, weight of the same object on the moon= 1.6 × 9.8 = 16.3 N.
Question 13: [Important]
A ball is thrown vertically upwards with a velocity of 49 m/s.
Calculate
(i) the maximum height to which it rises,
(ii) the total time it takes to return to the surface of the earth.
एक गेंद उर्ध्वाधर दिशा में ऊपर की ओर 49 m/s के वेग से फेंकी जाती है| परिकलन कीजिए
(i) अधिकतम ऊँचाई जहाँ तक कि गेंद पहुँचती है|
(ii) पृथ्वी की सतह पर वापस लौटने में लिया गया कुल समय|
Answer
According to the equation of motion under gravity:
v2 – u2 = 2gs
At maximum height, final velocity of the ball is zero, i.e., v= 0
u = 49 m/s
During upward motion, g = -9.8 m s-2
Let h be the maximum height attained by the ball.
Hence,
0 – 492 = 2×9.8×h
⇒ h = 492/(2×9.8)
⇒ h = 2401/19.6 = 122.5
Let t be the time taken by the ball to reach the height 122.5 m, then according to the equation of motion:
v = u + gt
We get,
0 = 49 + t x (- 9.8)
9.8t = 49
t = 49 / 9.8 = 5s
Also,
Time of ascent = Time of descent
Therefore, total time taken by the ball to return = 5 + 5 = 10 s
Question 14:
A stone is released from the top of a tower of height 19.6 m. Calculate its final velocity just before touching the ground.
19. 6 m ऊँची एक मीनार की चोटी से एक पत्थर छोड़ा जाता है| पृथ्वी पर पहुँचने से पहले इसका अंतिम वेग ज्ञात कीजिए|
Answer
According to the equation of motion under gravity:
v2 − u2 = 2 gs
Where,
u = Initial velocity of the stone = 0
v = Final velocity of the stone
s = Height of the stone = 19.6 m
g = Acceleration due to gravity = 9.8 m s-2
∴ v2 − 02 = 2 × 9.8 × 19.6
v2 = 2 × 9.8 × 19.6 = (19.6)2
v = 19.6 m s-1
Hence, the velocity of the stone just before touching the ground is 19.6 m s-1.
Question 15:
A stone is thrown vertically upward with an initial velocity of 40 m/s. Taking g = 10 m/s2, find the maximum height reached by the stone. What is the net displacement and the total distance covered by the stone?
कोई पत्थर ऊर्ध्वाधर दिशा में ऊपर की ओर 40 m/s के प्रारंभिक वेग से फेंका गया है| g = 10 ms-2 लेते हुए ग्राफ़ की सहायता से पत्थर द्वारा पहुँची अधिकतम ऊँचाई ज्ञात कीजिए| नेट विस्थापन तथा पत्थर द्वारा चली गई कुल दूरी कितनी होगी?
Answer
Given data:
Initial velocity u = 40m/s g = 10 m/s 2
Max height final velocity = 0
Consider the third equation of motion v 2 = u 2 – 2gs [negative as the object goes up]
0 = (40) 2 – 2 x 10 x s s = (40 x 40) / 20
Maximum height s = 80m
Total Distance = s + s = 80 + 80
Total Distance = 160m
Total displacement = 0 (The first point is the same as the last point)
Question 16:
Calculate the force of gravitation between the earth and the Sun, given that the mass of the earth = 6 × 1024 kg and of the Sun = 2 × 1030 kg. The average distance between the two is 1.5 × 1011 m.
पृथ्वी तथा सूर्य के बीच गुरुत्वाकर्षण बल का परिकलन कीजिए| दिया है, पृथ्वी का द्रव्यमान = 6 × 1024 kg तथा सूर्य का द्रव्यमान = 2 × 1030 kg| दोनों के बीच औसत दूरी 1.5 × 1011 m है|
Answer
Given data:
Mass of the sun m s = 2 × 10 30 kg
Mass of the earth m e = 6 × 10 24 kg
Gravitation constant G = 6.67 x 10 -11 N m 2 / kg 2
Average distance r = 1.5 × 10 11 m
Consider the Universal law of Gravitation

Question 17:
A stone is allowed to fall from the top of a tower 100 m high and at the same time another stone is projected vertically upwards from the ground with a velocity of 25 m/s. Calculate when and where the two stones will meet.
कोई पत्थर 100 m ऊँची किसी मीनार की चोटी से गिराया गया और उसी समय कोई दूसरा पत्थर 25 m/s के वेग से ऊर्ध्वाधर दिशा में ऊपर की ओर फेंका गया| परिकलन कीजिए कि दोनों पत्थर कब और कहाँ मिलेंगे?
Answer
(i) When the stone from the top of the tower is thrown,
Initial velocity u’ = 0
Distance traveled = x
Time taken = t
Therefore,

(ii) When the stone is thrown upwards, Initial velocity u = 25 m/s Distance travelled = (100 – x) Time taken = t

From equations (a) and (b)
5t 2 = 100 -25t + 5t 2 t = (100/25) = 4sec.
After 4sec, two stones will meet From (a) x = 5t 2 = 5 x 4 x 4 = 80m.
Putting the value of x in (100-x) = (100-80) = 20m.
This means that after 4sec, 2 stones meet a distance of 20 m from the ground.
Question 18:
A ball thrown up vertically returns to the thrower after 6 s.
Find
(a) the velocity with which it was thrown up,
(b) the maximum height it reaches, and
(c) its position after 4 s.
ऊर्ध्वाधर दिशा में ऊपर की ओर फेंकी गई एक गेंद 6 s पश्चात् फेंकने वाले के पास लौट आती है| ज्ञात कीजिए
(a) यह किस वेग से ऊपर फेंकी गई;
(b) गेंद द्वारा पहुँची गई अधिकतम ऊँचाई; तथा
(c) 4 s पश्चात् गेंद की स्थिति|
Answer
(a) The velocity with which ball was thrown up :
Acceleration due to gravity, g = – 9.8 ms–2
As the total time taken in upward and return journey by the ball is 6 s.
Therefore, The upward journey, t = 6/2 s = 3 s
Final velocity, v = 0 ms–1
Initial velocity, u = ?
Using equation of motion, v = u + at,
we have
0 = u + (−9.8 × 3)
⇒ u = 9.8 × 3
⇒ u = 29.4 m/s
Hence, the ball was thrown upwards with a velocity of 29.4 m/s.
गेंद के ऊपर जाने और वापस नीचे आने में कुल 6 s लगता है|
इसलिए अधिकतम ऊँचाई तक पहुंचने में इसे 3 s लगता है|
अधिकतम ऊँचाई पर गेंद का अंतिम वेग, v = 0
गुरुत्वीय त्वरण, g = -9.8 ms-2
गति का समीकरण, v = u + gt
0 = u + (−9.8 × 3)
u = 9.8 × 3 = 29.4 ms-1
इस प्रकार गेंद 29.4 ms-1 के वेग से ऊपर फेंकी गई थी|
(b) Let the maximum height attained by the ball be s.
Initial velocity during the upward journey, u = 29.4 m/s
Final velocity, v = 0 m/s
Acceleration due to gravity, g = −9.8 ms−2

Hence, the maximum height is 44.1 m.
(b) मान लें कि गेंद दारा तय की गई अधिकतम ऊँचाईन h है|
ऊपर की ओर जाते समय प्रारंभिक वेग, u = 29.4 ms-1
अंतिम वेग, v = 0; गुरुत्वीय त्वरण, g = -9.8 ms-2
गति के समीकरण से, s = ut + 1/2 at2
h = 29.4 × 3 + 1/2×-9.8 × (3)2 = 44.1 m
(c) Ball attains the maximum height after 3s. After attaining this height, it will start falling downwards.
In this case,
Initial velocity, u = 0 m/s
Position of the ball after 4 s of the throw is given by the distance travelled by it during its downward journey in 4 s − 3 s = 1 s.

Now, total height = 44.1 m
This means, the ball is 39.2 m (44.1 m − 4.9 m) above the ground after 4 seconds.
गेंद 3 s के बाद अधिकतम ऊँचाई पर होता है| इस ऊँचाई पर पहुँचने के बाद यह नीचे की ओर गिरने लगता है|
इस स्थिति में,
प्रारंभिक वेग, u = 0
4 s के बाद गेंद की स्थिति नीचे गिरने के दौरान उसके द्वारा तय की गई दूरी से निर्धारित की जाती है, 4 s – 3 s = 1 s
गति के समीकरण के अनुसार, S = ut + 1/2 gt2
S = 0×t + (1/2 × 9.8 × 12) = 4.9 m
कुल ऊँचाई = 44.1 m
इसका अर्थ है कि 4 s के बाद गेंद सतह से 39.2 m ऊपर होगी (44.1 – 4.9 m)|
NCERT Solution of Class 9 Science Ch-9 Gravitation
Question 19:
In what direction does the buoyant force on an object immersed in a liquid act?
किसी द्रव में डुबोई गई वस्तु पर उत्प्लावन बल किस दिशा में कार्य करता है?
Answer
The buoyant force on an object that is immersed in a liquid will be in a vertically upward direction.
किसी द्रव में डुबोई गई वस्तु पर उत्प्लावन बल ऊपर की दिशा में कार्य करता है|
Question 20:
Why does a block of plastic released under water come up to the surface of water?
पानी के भीतर किसी प्लास्टिक के गुटके को छोड़ने पर यह पानी की सतह पर क्यों आ जाता है?
Answer
Water has a higher density than plastic does. Consequently, the buoyancy force exerted on the plastic block will surpass its weight. Therefore, the plastic block will accelerate in an upward direction. The plastic block therefore reaches the water’s surface.
किसी वस्तु को पानी में डुबोने पर उस पर दो बल कार्य करते हैं :
(1) गुरुत्वाकर्षण बल, जिसके कारण वस्तु नीचे की दिशा में खिंचती है|
(2) उत्प्लावन बल, जो वस्तु को ऊपर की ओर धकेलती है|
यहाँ प्लास्टिक पर लगा उत्प्लावन बल गुरुत्वाकर्षण बल से अधिक है| यही कारण है कि पानी के भीतर किसी प्लास्टिक के गुटके को छोड़ने पर यह पानी की सतह पर आ जाता है|
Question 21:
The volume of 50 g of a substance is 20 cm³. If the density of water is 1 g cm–3, will the substance float or sink?
50 g के किसी पदार्थ का आयतन 20 cm3 है| यदि पानी का घनत्व 1 g cm3 हो, तो पदार्थ तैरेगा या डूबेगा?
Answer
Density of substance =
The density of substance (2.5 gcm-3) is more than that of water (1 gcm-3). Therefore, the substance will sink to the bottom.
Question 22:
The volume of a 500 g sealed packet is 350 cm³. Will the packet float or sink in water if the density of water is 1 g cm–3? What will be the mass of the water displaced by this packet?
500 g के एक मोहरबंद पैकेट का आयतन 350 cm3 है| पैकेट 1 g cm-3 घनत्व वाले पानी में तैरेगा या डूबेगा? इस पैकेट द्वारा विस्थापित पानी का द्रव्यमान कितना होगा?
Answer
Density of packet =
Since the density of packet is more than that of water, therefore, the packet will sink to the bottom.
Mass of water displaced = Volume of water displaced × density of water
i.e.,
or m = 350 g
NCERT Solution of Class 9 Science Ch-9 Gravitation

